AT切型矩形石英晶振晶片的設計
如前所述,AT切型圓形片具有很多優點,并有很廣泛的應用。但是,AT切型矩形石英晶振晶片在低頻段具有很高的活力,加工也比較方便,在1000KHz~6000KHz頻率范圍內經常被采用。
AT切型矩形石英片的設計主要是如何選擇石英片的長、寬尺寸的問題。長寬選擇不當,就會引起其它振動模式的耦合作用。例如與y面切變耦合或與xy彎曲振動耦合等。這些振動如果與主振動發生強耦合作用,貼片晶振,石英晶體元件性能就將惡化,甚至在某些溫度點上造成停振。
AT切型矩形石英片的長度與xy’彎曲振動頻率的關系式為:
式中:
l—沿X方向的長度(mm):
n彎—每泛音次數;
Kf—彎曲振動頻率常數;
當n彎等于偶數時,與主振動發生強耦合作用。當l/t>20時,Kf=1380 KHZ. mn,圖3.5.1給出了彎曲振動頻率常數Kf隨l/t變化的關系曲線,供設計時參考。
AT切型矩形石英晶振片的長度和寬度與y面切變振動頻率的關系式為:
式中:
(f面)l—與長度有關的面切變頻率;
(f面)w—與寬度有關的面切變頻率;
n面—y’面切變振動的泛音次數。
當n面等于奇數時,與主振動發生強耦合作用。
選擇矩形石英晶振晶片的長度和寬度時,應避開式(3.5.2)和式(3.5.3)所確定的長、寬值。
Kf—無限大平板的頻率常數=1660 KHZ. mm;
n—泛音次數;
t—石英晶振片厚度(mm);
C11’、C66’、C55’ —彈性剛度常數;
p—X軸方向的泛音次數;
r—Z軸方向的泛音次數;
X0、Z0分別表示X軸與Z軸方向的尺寸。
正方形的板狀振動體,當p=r次數相同時,厚度切變基波的振蕩頻率為:
例如當t=0.100mm,X0=8.000mm,Z0=2.000mm時:
AT切型矩形石英片的設計主要是如何選擇石英片的長、寬尺寸的問題。長寬選擇不當,就會引起其它振動模式的耦合作用。例如與y面切變耦合或與xy彎曲振動耦合等。這些振動如果與主振動發生強耦合作用,貼片晶振,石英晶體元件性能就將惡化,甚至在某些溫度點上造成停振。
AT切型矩形石英片的長度與xy’彎曲振動頻率的關系式為:
式中:
l—沿X方向的長度(mm):
n彎—每泛音次數;
Kf—彎曲振動頻率常數;
當n彎等于偶數時,與主振動發生強耦合作用。當l/t>20時,Kf=1380 KHZ. mn,圖3.5.1給出了彎曲振動頻率常數Kf隨l/t變化的關系曲線,供設計時參考。
AT切型矩形石英晶振片的長度和寬度與y面切變振動頻率的關系式為:
式中:
(f面)l—與長度有關的面切變頻率;
(f面)w—與寬度有關的面切變頻率;
n面—y’面切變振動的泛音次數。
當n面等于奇數時,與主振動發生強耦合作用。
選擇矩形石英晶振晶片的長度和寬度時,應避開式(3.5.2)和式(3.5.3)所確定的長、寬值。
圖3.5.1彎曲振動頻率常數Kf與l/t的關系
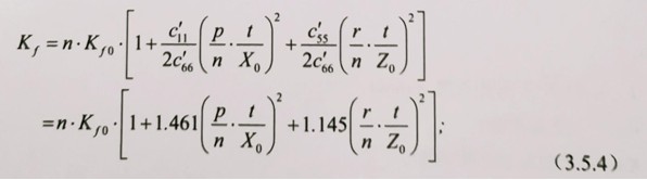
短矩形平面石英片的頻率常數Kf為:
Kf—無限大平板的頻率常數=1660 KHZ. mm;
n—泛音次數;
t—石英晶振片厚度(mm);
C11’、C66’、C55’ —彈性剛度常數;
p—X軸方向的泛音次數;
r—Z軸方向的泛音次數;
X0、Z0分別表示X軸與Z軸方向的尺寸。
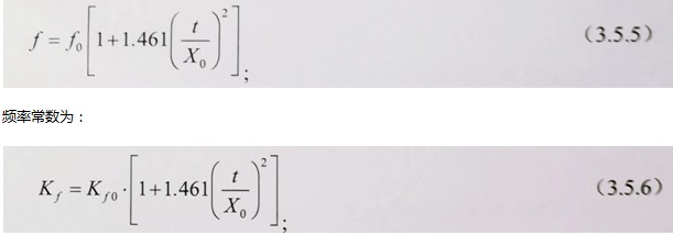
正方形的板狀振動體,當p=r次數相同時,厚度切變基波的振蕩頻率為:
例如當t=0.100mm,X0=8.000mm,Z0=2.000mm時: