遙遙領先的Skyworks晶振/輔助駕駛模塊晶振/550CD16M0000DG壓控晶振
頻率:16MHz
尺寸:7050mm
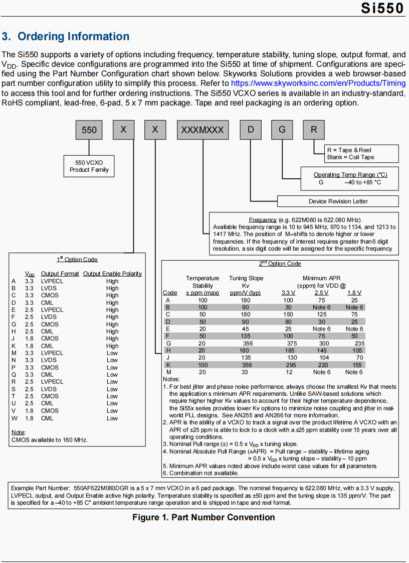
遙遙領先的Skyworks晶振/輔助駕駛模塊晶振/550CD16M0000DG壓控晶振,美國Skyworks晶振公司,高品質晶振,進口晶振,歐美晶振,有源晶振,壓控晶振,VCXO晶振,高精度晶振,輔助駕駛模塊晶振,6G路由器晶振,Si550 VCXO采用Skyworks Solutions先進的DSPLL®電路,在高頻下提供低抖動時鐘。Si550支持從10到945 MHz的任意頻率和1417 MHz的選擇頻率。與傳統VCXOs不同的是,Si550使用一個固定的晶體來提供廣泛的輸出頻率。這種基于集成電路的方法允許晶體諧振器提供卓越的頻率穩定性和可靠性。此外,DSPLL時鐘合成提供了優越的電源噪聲抑制,簡化了在通信系統中通常發現的嘈雜環境中產生低抖動時鐘的任務。Si550基于ic的VCXO可在工廠配置,以滿足各種用戶規格,包括頻率,電源電壓,輸出格式,調諧斜率和溫度穩定性。
遙遙領先的Skyworks晶振/輔助駕駛模塊晶振/550CD16M0000DG壓控晶振
參數
符號
試驗條件
最小值
典型的
最大值
單位
電源電壓
VDD
3.3 V option
2.97
3.3
3.63
V
2.5 V option
2.25
2.5
2.75
V
1.8 V option
1.71
1.8
1.89
V
供應電流
IDD
Output enabled LVPECL
CML LVDS CMOS
—
—
—
—
120
108
99
90
130
117
108
98
mA
tristate mode
—
60
75
mA
輸出啟用
VIH
0.75 x VDD
—
—
V
VIL
—
—
0.5
V
工作溫度范圍
TA
–40
—
85
°C
控制電壓調整坡度
KV
10 to 90% of VDD
—
—
33
45
—
—
—
—
90
135
—
—
ppm/V
—
180
—
—
356
—
控制電壓線性
LVC
BSL
–5
±1
+5
%
Incremental
–10
±5
+10
%
調制帶寬
BW
9.3
10.0
10.7
kHz
輸入抗阻
ZVC
500
—
—
k?
標稱控制電壓
VCNOM
@ fO
—
VDD/2
—
V
控制電壓協調范圍
VC
0
VDD
V
標稱頻率
fO
LVDS/CML/LVPECL
10
—
945
MHz
CMOS
10
—
160
MHz
溫度穩定度
TA = –40 to +85 ºC
–20
–50
–100
—
—
—
20
+50
+100
ppm
老化
Frequency drift over first year.
—
—
±3
ppm
Frequency drift over 15 year life.
—
—
±10
遙遙領先的Skyworks晶振/輔助駕駛模塊晶振/550CD16M0000DG壓控晶振
Skywork原廠編碼 | 生產商 | 型號 | 類型 | 頻率 | 輸出 | 電源電壓 | 頻率穩定度 |
550CE100M000DG | Skyworks晶振 | Si550 | VCXO | 100 MHz | CMOS | 3.3V | ±20ppm |
550BJ25M0000DG | Skyworks晶振 | Si550 | VCXO | 25 MHz | LVDS | 3.3V | ±20ppm |
550CE102M400DG | Skyworks晶振 | Si550 | VCXO | 102.4 MHz | CMOS | 3.3V | ±20ppm |
550CD16M0000DGR | Skyworks晶振 | Si550 | VCXO | 16 MHz | CMOS | 3.3V | ±50ppm |
550CD20M0000DGR | Skyworks晶振 | Si550 | VCXO | 20 MHz | CMOS | 3.3V | ±50ppm |
550CD30M0000DGR | Skyworks晶振 | Si550 | VCXO | 30 MHz | CMOS | 3.3V | ±50ppm |
550CF10M0000DGR | Skyworks晶振 | Si550 | VCXO | 10 MHz | CMOS | 3.3V | ±50ppm |
550CD16M0000DG | Skyworks晶振 | Si550 | VCXO | 16 MHz | CMOS | 3.3V | ±50ppm |
550CD20M0000DG | Skyworks晶振 | Si550 | VCXO | 20 MHz | CMOS | 3.3V | ±50ppm |
550CD30M0000DG | Skyworks晶振 | Si550 | VCXO | 30 MHz | CMOS | 3.3V | ±50ppm |
550CF10M0000DG | Skyworks晶振 | Si550 | VCXO | 10 MHz | CMOS | 3.3V | ±50ppm |
550CJ22M5790DG | Skyworks晶振 | Si550 | VCXO | 22.579 MHz | CMOS | 3.3V | ±20ppm |
550CM22M5790DG | Skyworks晶振 | Si550 | VCXO | 22.579 MHz | CMOS | 3.3V | ±20ppm |
550CM94M0000DG | Skyworks晶振 | Si550 | VCXO | 94 MHz | CMOS | 3.3V | ±20ppm |
550CJ22M5790DGR | Skyworks晶振 | Si550 | VCXO | 22.579 MHz | CMOS | 3.3V | ±20ppm |
550CM22M5790DGR | Skyworks晶振 | Si550 | VCXO | 22.579 MHz | CMOS | 3.3V | ±20ppm |
550CM94M0000DGR | Skyworks晶振 | Si550 | VCXO | 94 MHz | CMOS | 3.3V | ±20ppm |
550AD10M0000DGR | Skyworks晶振 | Si550 | VCXO | 10 MHz | LVPECL | 3.3V | ±50ppm |
550AD12M5458DGR | Skyworks晶振 | Si550 | VCXO | 12.5458 MHz | LVPECL | 3.3V | ±50ppm |
550AD24M5760DGR | Skyworks晶振 | Si550 | VCXO | 24.576 MHz | LVPECL | 3.3V | ±50ppm |
550AD27M0000DGR | Skyworks晶振 | Si550 | VCXO | 27 MHz | LVPECL | 3.3V | ±50ppm |
550AD94M0000DGR | Skyworks晶振 | Si550 | VCXO | 94 MHz | LVPECL | 3.3V | ±50ppm |
550BD62M5000DGR | Skyworks晶振 | Si550 | VCXO | 62.5 MHz | LVDS | 3.3V | ±50ppm |
550FD74M2500DGR | Skyworks晶振 | Si550 | VCXO | 74.25 MHz | LVDS | 2.5V | ±50ppm |
550RC12M2230DGR | Skyworks晶振 | Si550 | VCXO | 12.223 MHz | LVPECL | 2.5V | ±50ppm |
550AJ873M515DG | Skyworks晶振 | Si550 | VCXO | 873.515 MHz | LVPECL | 3.3V | ±20ppm |
550AJ873M515DGR | Skyworks晶振 | Si550 | VCXO | 873.515 MHz | LVPECL | 3.3V | ±20ppm |
550FG125M000DG | Skyworks晶振 | Si550 | VCXO | 125 MHz | LVDS | 2.5V | ±20ppm |
550FG125M000DGR | Skyworks晶振 | Si550 | VCXO | 125 MHz | LVDS | 2.5V | ±20ppm |
550AD10M0000DG | Skyworks晶振 | Si550 | VCXO | 10 MHz | LVPECL | 3.3V | ±50ppm |
550AD12M5458DG | Skyworks晶振 | Si550 | VCXO | 12.5458 MHz | LVPECL | 3.3V | ±50ppm |
550AD24M5760DG | Skyworks晶振 | Si550 | VCXO | 24.576 MHz | LVPECL | 3.3V | ±50ppm |
550AD27M0000DG | Skyworks晶振 | Si550 | VCXO | 27 MHz | LVPECL | 3.3V | ±50ppm |
550AD94M0000DG | Skyworks晶振 | Si550 | VCXO | 94 MHz | LVPECL | 3.3V | ±50ppm |
550BD62M5000DG | Skyworks晶振 | Si550 | VCXO | 62.5 MHz | LVDS | 3.3V | ±50ppm |
550FD74M2500DG | Skyworks晶振 | Si550 | VCXO | 74.25 MHz | LVDS | 2.5V | ±50ppm |
550RC12M2230DG | Skyworks晶振 | Si550 | VCXO | 12.223 MHz | LVPECL | 2.5V | ±50ppm |
550AJ40M0000DGR | Skyworks晶振 | Si550 | VCXO | 40 MHz | LVPECL | 3.3V | ±20ppm |
550CA100M000DGR | Skyworks晶振 | Si550 | VCXO | 100 MHz | CMOS | 3.3V | ±100ppm |
550CA24M5760DGR | Skyworks晶振 | Si550 | VCXO | 24.576 MHz | CMOS | 3.3V | ±100ppm |
550CA25M0000DGR | Skyworks晶振 | Si550 | VCXO | 25 MHz | CMOS | 3.3V | ±100ppm |
550CA27M0000DGR | Skyworks晶振 | Si550 | VCXO | 27 MHz | CMOS | 3.3V | ±100ppm |
550CA30M7200DGR | Skyworks晶振 | Si550 | VCXO | 30.72 MHz | CMOS | 3.3V | ±100ppm |
550CA38M8800DGR | Skyworks晶振 | Si550 | VCXO | 38.88 MHz | CMOS | 3.3V | ±100ppm |
550CA48M0000DGR | Skyworks晶振 | Si550 | VCXO | 48 MHz | CMOS | 3.3V | ±100ppm |
550CA49M1250DGR | Skyworks晶振 | Si550 | VCXO | 49.125 MHz | CMOS | 3.3V | ±100ppm |
550CA49M1520DGR | Skyworks晶振 | Si550 | VCXO | 49.152 MHz | CMOS | 3.3V | ±100ppm |
550CB25M0000DGR | Skyworks晶振 | Si550 | VCXO | 25 MHz | CMOS | 3.3V | ±100ppm |
550CK11M2896DGR | Skyworks晶振 | Si550 | VCXO | 11.2896 MHz | CMOS | 3.3V | ±100ppm |
550CK22M5792DGR | Skyworks晶振 | Si550 | VCXO | 22.5792 MHz | CMOS | 3.3V | ±100ppm |
550CK24M5760DGR | Skyworks晶振 | Si550 | VCXO | 24.576 MHz | CMOS | 3.3V | ±100ppm |
550CK29M5000DGR | Skyworks晶振 | Si550 | VCXO | 29.5 MHz | CMOS | 3.3V | ±100ppm |
550PK13M5600DGR | Skyworks晶振 | Si550 | VCXO | 13.56 MHz | CMOS | 3.3V | ±100ppm |
550CB24M5760DGR | Skyworks晶振 | Si550 | VCXO | 24.576 MHz | CMOS | 3.3V | ±100ppm |
550AE19M2000DGR | Skyworks晶振 | Si550 | VCXO | 19.2 MHz | LVPECL | 3.3V | ±20ppm |
550CC78M3360DGR | Skyworks晶振 | Si550 | VCXO | 78.336 MHz | CMOS | 3.3V | ±50ppm |
550CC86M0160DGR | Skyworks晶振 | Si550 | VCXO | 86.016 MHz | CMOS | 3.3V | ±50ppm |
550CD000149DGR | Skyworks晶振 | Si550 | VCXO | 74.175824 MHz | CMOS | 3.3V | ±50ppm |
550CD000230DGR | Skyworks晶振 | Si550 | VCXO | 43.04895 MHz | CMOS | 3.3V | ±50ppm |
550CD000231DGR | Skyworks晶振 | Si550 | VCXO | 77.570634 MHz | CMOS | 3.3V | ±50ppm |
550CD100M000DGR | Skyworks晶振 | Si550 | VCXO | 100 MHz | CMOS | 3.3V | ±50ppm |
550CD108M000DGR | Skyworks晶振 | Si550 | VCXO | 108 MHz | CMOS | 3.3V | ±50ppm |
550CD10M0000DGR | Skyworks晶振 | Si550 | VCXO | 10 MHz | CMOS | 3.3V | ±50ppm |
550CD120M000DGR | Skyworks晶振 | Si550 | VCXO | 120 MHz | CMOS | 3.3V | ±50ppm |
550CD122M880DGR | Skyworks晶振 | Si550 | VCXO | 122.88 MHz | CMOS | 3.3V | ±50ppm |
550CD125M000DGR | Skyworks晶振 | Si550 | VCXO | 125 MHz | CMOS | 3.3V | ±50ppm |
550CD19M4400DGR | Skyworks晶振 | Si550 | VCXO | 19.44 MHz | CMOS | 3.3V | ±50ppm |
550CD24M7040DGR | Skyworks晶振 | Si550 | VCXO | 24.704 MHz | CMOS | 3.3V | ±50ppm |
550CD25M0000DGR | Skyworks晶振 | Si550 | VCXO | 25 MHz | CMOS | 3.3V | ±50ppm |
550CD27M0000DGR | Skyworks晶振 | Si550 | VCXO | 27 MHz | CMOS | 3.3V | ±50ppm |
550CD30M7200DGR | Skyworks晶振 | Si550 | VCXO | 30.72 MHz | CMOS | 3.3V | ±50ppm |
550CD36M8640DGR | Skyworks晶振 | Si550 | VCXO | 36.864 MHz | CMOS | 3.3V | ±50ppm |
550CD49M5000DGR | Skyworks晶振 | Si550 | VCXO | 49.5 MHz | CMOS | 3.3V | ±50ppm |
550CD50M0000DGR | Skyworks晶振 | Si550 | VCXO | 50 MHz | CMOS | 3.3V | ±50ppm |
550CD63M8976DGR | Skyworks晶振 | Si550 | VCXO | 63.8976 MHz | CMOS | 3.3V | ±50ppm |
550CD64M0000DGR | Skyworks晶振 | Si550 | VCXO | 64 MHz | CMOS | 3.3V | ±50ppm |
550CD65M5360DGR | Skyworks晶振 | Si550 | VCXO | 65.536 MHz | CMOS | 3.3V | ±50ppm |
550CD70M6560DGR | Skyworks晶振 | Si550 | VCXO | 70.656 MHz | CMOS | 3.3V | ±50ppm |
550CD74M1582DGR | Skyworks晶振 | Si550 | VCXO | 74.1582 MHz | CMOS | 3.3V | ±50ppm |
550CD74M1758DGR | Skyworks晶振 | Si550 | VCXO | 74.1758 MHz | CMOS | 3.3V | ±50ppm |
550CD77M7600DGR | Skyworks晶振 | Si550 | VCXO | 77.76 MHz | CMOS | 3.3V | ±50ppm |
550CD80M0000DGR | Skyworks晶振 | Si550 | VCXO | 80 MHz | CMOS | 3.3V | ±50ppm |
550CD89M6000DGR | Skyworks晶振 | Si550 | VCXO | 89.6 MHz | CMOS | 3.3V | ±50ppm |
550CF000205DGR | Skyworks晶振 | Si550 | VCXO | 36.5714285 MHz | CMOS | 3.3V | ±50ppm |
550CF000256DGR | Skyworks晶振 | Si550 | VCXO | 27.9127092 MHz | CMOS | 3.3V | ±50ppm |
550CF100M000DGR | Skyworks晶振 | Si550 | VCXO | 100 MHz | CMOS | 3.3V | ±50ppm |
550CF125M000DGR | Skyworks晶振 | Si550 | VCXO | 125 MHz | CMOS | 3.3V | ±50ppm |
550CF12M2880DGR | Skyworks晶振 | Si550 | VCXO | 12.288 MHz | CMOS | 3.3V | ±50ppm |
550CF16M0000DGR | Skyworks晶振 | Si550 | VCXO | 16 MHz | CMOS | 3.3V | ±50ppm |
550CF20M0000DGR | Skyworks晶振 | Si550 | VCXO | 20 MHz | CMOS | 3.3V | ±50ppm |
550CF23M5000DGR | Skyworks晶振 | Si550 | VCXO | 23.5 MHz | CMOS | 3.3V | ±50ppm |
550CF27M0000DGR | Skyworks晶振 | Si550 | VCXO | 27 MHz | CMOS | 3.3V | ±50ppm |
550CF30M2400DGR | Skyworks晶振 | Si550 | VCXO | 30.24 MHz | CMOS | 3.3V | ±50ppm |
550CF35M3280DGR | Skyworks晶振 | Si550 | VCXO | 35.328 MHz | CMOS | 3.3V | ±50ppm |
550CF36M8640DGR | Skyworks晶振 | Si550 | VCXO | 36.864 MHz | CMOS | 3.3V | ±50ppm |
550CF38M7853DGR | Skyworks晶振 | Si550 | VCXO | 38.7853 MHz | CMOS | 3.3V | ±50ppm |
550CF65M5360DGR | Skyworks晶振 | Si550 | VCXO | 65.536 MHz | CMOS | 3.3V | ±50ppm |
550GC10M0000DGR | Skyworks晶振 | Si550 | VCXO | 10 MHz | CMOS | 2.5V | ±50ppm |
550GC125M000DGR | Skyworks晶振 | Si550 | VCXO | 125 MHz | CMOS | 2.5V | ±50ppm |
550GC38M7853DGR | Skyworks晶振 | Si550 | VCXO | 38.7853 MHz | CMOS | 2.5V | ±50ppm |
深圳市億金電子有限公司 SHENZHEN YIJIN ELECTRONICS CO;LTD
聯系人黃娜:18924600166
工作QQ:857950243
貿易通:yijindz2014
座機:0755-27876565
郵箱:yijindz@163.com
微信:yijindz,公眾號:NDKcrystal
地址:廣東省深圳市寶安區107國道旁甲岸路
跟此產品相關的產品 / Related Products
- M3028S00970.656000,M3028差分晶振,VCXO有源壓控晶振
- M3028S00970.656000,M3028差分晶振,VCXO有源壓控晶振,具備70.656000MHz的精準標稱頻率,頻率精度達工業級高標準,可滿足高頻場景下對時鐘信號的嚴苛要求.作為有源VCXO壓控晶振,其核心參數設計貼合復雜電路需求:標準工作條件下頻率穩定度控制在±25ppm以內,同時支持寬電壓輸入(典型范圍3.0V-3.6V),適配不同供電體系的設備.此外,該型號的壓控電壓范圍(通常為0.5V-2.5V)覆蓋行業通用標準,通過外部電壓調節可實現±100ppm的頻率牽引范圍,為設備時鐘信號的動態校準提供充足調整空間,尤其適配需實時頻率補償的場景.
- M324TCN50.000000,HCMOS輸出晶振,7050表面貼裝晶振
- M324TCN50.000000,HCMOS輸出晶振,7050表面貼裝晶振,是一款定位高精度時鐘應用的晶振產品,具備50.000000MHz的標稱頻率,頻率精度達到工業級高標準,能為設備提供穩定的高頻時鐘信號支撐.作為專為高頻場景設計的型號,其核心參數嚴格符合行業規范,例如在標準工作條件下,頻率穩定度可控制在±20ppm以內,確保信號輸出的精準性.同時,該晶振適配寬電壓輸入范圍(通常支持2.5V-5.5V),兼容不同電路供電需求,無論是低功耗設備還是高負載系統,均能穩定適配,為后續電路設計提供靈活的供電選擇空間.
- M2532S1357.372800,M2532系列晶振,MTRONPTI麥特倫皮
- M2532S1357.372800,M2532系列晶振,MTRONPTI麥特倫皮,具備精準的7.372800MHz標稱頻率,這一頻率值專為需高精度晶振時鐘信號的場景設計,如串口通信,實時時鐘(RTC)模塊等.作為M2532系列的代表性產品,其采用工業級標準封裝,尺寸與電氣接口符合系列統一規范,可與同系列其他頻率型號實現無縫替換,極大降低了設備迭代時的適配成本.同時,該型號支持寬電壓輸入范圍與穩定的負載電容特性,在-40℃~85℃的工業級工作溫度區間內,能保持頻率穩定度在±20ppm以內,滿足惡劣環境下的長期可靠運行需求.
晶振系列
日本進口晶振
- 京瓷晶振
- 精工晶振
- 西鐵城晶振
- 村田晶振
- 大河晶振
- KDS Quartz crystal
- NDK Quartz crystal
- EPSON Quartz crystal
- 富士晶振
- NAKA晶振
- SMI晶振
- NJR晶振
臺產晶振
歐美晶振
- CTS晶振
- 微晶晶振
- 瑞康晶振
- 康納溫菲爾德晶振
- 高利奇晶振
- Jauch晶振
- AbraconCrystal晶振
- 維管晶振
- ECScrystal晶振
- 日蝕晶振
- 拉隆晶振
- 格林雷晶振
- SiTimeCrystal晶振
- IDTcrystal晶振
- PletronicsCrystal晶振
- StatekCrystal晶振
- AEK晶振
- AEL晶振
- Cardinal晶振
- Crystek晶振
- Euroquartz晶振
- 福克斯晶振
- Frequency晶振
- GEYER晶振
- ILSI晶振
- KVG晶振
- MMDCOMP晶振
- MtronPTI晶振
- QANTEK晶振
- QuartzCom晶振
- QuartzChnik晶振
- SUNTSU晶振
- Transko晶振
- WI2WI晶振
- 韓國三呢晶振
- ITTI晶振
- ACT晶振
- Milliren晶振
- Lihom晶振
- rubyquartz晶振
- Oscilent晶振
- SHINSUNG晶振
- PDI晶振
- C-TECH晶振
- IQD晶振
- Microchip晶振
- Silicon晶振
- Fortiming晶振
- CORE晶振
- NIPPON晶振
- NIC晶振
- QVS晶振
- Bomar晶振
- Bliley晶振
- GED晶振
- FILTRONETICS晶振
- STD晶振
- Q-Tech晶振
- Anderson晶振
- Wenzel晶振
- NEL晶振
- EM晶振
- PETERMANN晶振
- FCD-Tech晶振
- HEC晶振
- FMI晶振
- Macrobizes晶振
- AXTAL晶振
- 瑞薩renesas晶振
- Skyworks晶振
有源晶振
霧化片
貼片晶振
32.768K
- 32.768K有源晶振
- 8.0x3.8晶振
- 7.1x3.3晶振
- 7.0x1.5晶振
- 5.0x1.8晶振
- 4.1x1.5晶振
- 3.2x1.5晶振
- 2.0x1.2晶振
- 1.6x1.0晶振
- 1.2x1.0晶振
- 圓柱晶振
聲表面濾波器
石英晶振
KDS晶振
愛普生晶振
- EPSON 32.768K晶振
- EPSON無源晶振
- EPSON普通有源晶振
- EPSON壓控晶振
- EPSON溫補晶振
- EPSON壓控溫補晶振
- EPSON恒溫晶振
- EPSON差分晶振
- EPSON可編程晶振